The volume of a cone can be determined by summing up the infinitesimal circular cross-sections of the cone across the length of the cone Consider the function f(x) = x2 for x contained in [0,1].

Now consider an infinitesimal circular cross-sectional element of width dx and radius r = f(x)
Determine the volume of the cone enclosedby the function f(x) by considering the volume of each circular cross-sectional element
(Recall thatthe sum of infinitesimal elements can be represented as an integral Recall also that the area of a circle is
A)

B)

C)

D)
1
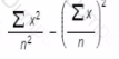
Identify which of the following is not true about the population variance of a set of data.
Identify which of the following statements are true.
I.Skewness measures how peaked a set of data is
II.Skewness is a measure of asymmetry of the distribution of the data about its mean.
III. For a symmetrically distributed data, the mean equals the median but not necessarily the mode
IV. The value of a measure of skewness can be positive, zero or negative.
Consider the following definite integral:

Determine for which combination of a and b the integral converges.
A)

B)

C)

D)

Identify which of the following statements is correct.
For a continuous random variable X, the distribution function evaluated at X= x measures:
Identify which of the following statements about the mean of a data set is correct.
A student is trying to estimate the root of the equation
Determine which of the suggestions will lead to the root.

Consider the three vectors:

Determine which of (he vectors or combination of vectors shown in the options has the greatest magnitude
Calculate

A set of 17 observed values is being studied.
Identify which of the following statements is/are true.
I The median must be equalto one of the observed values.
II. The mean could be different from all of the observed values.
Ill If the observations are positively skewed, then the mean is less than the median
IV. More than one mode is not possible.
TESTED 20 Apr 2026