What test process is included as part of TPI Next? [1]
Your testing team has just received the test conditions for a new project. You are conducting Test Design activities for this project. Your team feels that it would be beneficial to create high-level test cases.
What should they do concurrently with creating these test cases? [2]
Your last project was released three months ago and used a risk-based approach. In production, a number of serious failures in low risk areas have occurred.
What is the most important lesson to be learned from this information? [2]
While mining the defect database for patterns of problems in the last release, a Test Manager notices that many of the most damaging failures were caused by defects
injected during the low-level design phase.
Which of the following actions will likely give this project the most effective solution to this problem? [3]
During the follow-up phase the following conditions are checked:
X1. The code has been completely reviewed
X2. All the identified defects have been correctly fixed and the modified code has been compiled successfully and run through all the static analyzers used by the project without warnings and errors
X3. The modified code is available under the configuration management system with a new version number for the specified CI
If these conditions are fulfilled then the review process terminates.
Which of the following characteristics of a formal review is missing in this description?
Number of correct responses: 1
K21 credit
Reviews
Consider the following list of statements about audits and management reviews:
I. Audits are usually more effective than management reviews at finding defects
II. Audits and management reviews have the same main goals, the only difference is related to the roles and level of formality
III. A typical outcome of an audit includes observations and recommendations, corrective actions and a pass/fail assessment
IV. An audit is not the appropriate mechanism to use at the code review in order to detect defects prior to dynamic testing
Which of the following statements is true?
Number of correct responses: 1
K21 credit
Improving the Testing Process
Consider the following statements describing the importance of improving the test process:
I. Test process improvement is important because being focused only on the test process it can provide recommendations to improve the test process itself, but it can’t indicate or suggest improvement to areas of the development process
II. Test process improvement is important because it is much more effective than software process improvement to improve the quality of a software system
III. Test process improvement is important because several process improvement models (STEP, TPI Next, TMMi) have been developed over the years
IV. Test process improvement is important because every organization, regardless of the context, should always achieve the maximum level of maturity of testing described in the test improvement models such as TMMi
Which of the following answers is correct?
Number of correct responses: 1
K21 credit
Defect Management
Consider a defect report and assume that a part of its lifecycle includes the following states:
New: Is the initial state
Working: Means that the developers are addressing the defect in order to produce a fix for the defect
Clarification: Means that the developers need more information from the tester to address the defect and produce a fix for the defect and the tester is working to provide this information to the developers
Verification: Means that a fix for the defect has been produced and the tester is running the adequate tests to verify whether the fix solves the defect
Closed: is the final state
Which of the following answers represents an invalid sequence of states that can’t lead the bug report to the “Closed” state?
Number of correct responses: 1
K21 credit
Defect Management
Which of the following information would you expect to be the most useful to perform a defect clustering analysis?
Number of correct responses: 1
K21 credit
Defect Management
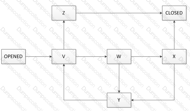
Assume you are working on a defect management process to be used by a software organization to track the current status of the defects reports for several projects.
When a defect is found for investigation a defect report is created in “Opened” state that is the unique initial state. The defect report status has also a unique finale state that is the “Closed” state.
The following state transition diagram describes the states of this defect management process:

where only the initial (“Opened”) and final (“Closed”) states are indicated while the remaining states (V, W, X, Y, Z) have yet to be named.
Which of the following assignments would you expect to best complete the defect management process?
Number of correct responses: 1
K32 credits
TESTED 20 Apr 2026